当前位置:产品中心 > 蒸汽流量计 > 蒸汽流量计
蒸汽,亦称“水蒸气”。 根据压力和温度对各种蒸汽的分类为:饱和蒸汽,过热蒸汽。蒸汽主要用途有加热/加湿;还可以产生动力;作为机器驱动等。

对于蒸汽的利用,在实际工况中都需要进行计量,那么测量蒸汽的流量计有哪些呢?
蒸汽流量计--涡街式蒸汽流量计
涡街式蒸汽流量计优势:
★ 结构简单,牢固、维护方便,无需导压管、三阀组等部件,减少泄露、堵塞和冻结等;
★ 精确度高,一般为1-1.5 %;
★ 测量量程宽,选对对应口径,一般可以达到20:1 ;
★ 压损小,约为节流型差压流量计 的 1/4 ~ 1/2 ;
★ 输出与流量成正比的脉冲信号,无零点漂移 ;
★ 在一定雷诺数范围内,输出频率不受流体物理性质(密度、粘度和组成)的影响,即仪表系数只与漩涡发生体、管道的形状和尺寸有关。
涡街式蒸汽流量计局限性:
★ 对管道机械振动比较敏感,不易用于强振动场所;
★ 口径越大,分辨率越低,一般满管流量时,口径只做到DN300以下;
★ 流体温度太高时,测量还是有困难,一般温度低于330 °C;
★ 当流体有压力脉动或流量脉动时,市值大幅度偏高,影响较大,因此不适用于脉动流。
常用型号:
涡街流量计 DVS-DS50F21O
型号注解:涡街流量计中温型,介质为蒸汽,DN50,表体材质为304不锈钢,介质温度:250度,额定压力1.6MPa;脉冲输出,无显示,24V供电,配套碳钢安装法兰、螺栓螺母等紧固件,夹持式安装。
配套二次仪表:DQ2100 智能流量积算仪,中文液晶显示瞬时流量和累计流量,具有稳压补偿功能。
(智能流量积算仪详细介绍:http://www.58qiangzhu.com/chanpin/detail/126)
配套压力变送器:DQ805 进行压力补偿。
配套热电阻: PT100 进行温度补偿。
一整套配置: 涡街流量计+流量积算仪+压力变送器+热电阻 (也可以根据需要单独选择温度补偿或压力补偿或者无补偿)
流量计价格随选型规格、口径、配置变化影响,不是一口价产品,需要根据您的工况选型报价.

主要技术指标

涡街式蒸汽流量计,也可以选择在线稳压补偿型:


涡街式蒸汽流量计直接显示型电池供电或24V供电:


涡街式蒸汽流量计温度>250°C 低于330°C:

涡街式蒸汽流量计(>DN300)插入式:

选型需要明确以下工作参数:
(1)被测介质的名称、组份
(2)工作状态的最小、常用、最大流量
(3)介质的最低、常用、最高压力和温度
(4)管道口径、材质等。
选型举例:已知蒸汽压力和温度及工况流量时
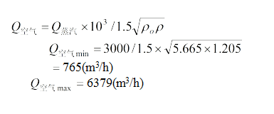
测量介质为过热蒸汽,蒸汽温度为320℃,压力为1.5MPa(绝压),流量范围为3t/h~25t/h, 试 确定流量计口径。
步骤一:计算蒸汽的等效空气参比条件下的体积流量范围,经查附表(二),该状态下蒸汽的密度为:5.665Kg/m3,由公式(8) :

步骤二:根据等效参比流量范围765-6379m3/h,查表(二),比较适合该流量范围为DN200口径。

涡街流量计网页详细介绍:http://www.58qiangzhu.com/chanpin/detail/34
安装方式以及使用说明书下载:http://www.58qiangzhu.com/xiazai/detail/119
使用常见故障以及排除方法:http://www.duoqinsh.com/duoqinsh-Article-231837/
蒸汽流量计--差压式蒸汽流量计
差压式蒸汽流量计有多种:孔板流量计、V锥流量计、平衡流量计、喷嘴流量计、德尔塔巴流量计等多种,各有各的优势。
差压式蒸汽流量计优势:
★ 节流式差压流量计中的标准孔板结构简单,易于复制,简单牢固,性能稳定可靠,价格低廉,无需校准就可使用,这是最大的优势;
★ 使用范围广泛,即使用于单相流体,也使用于 部分混相流:汽固、汽液、固液 等;
★ 高温、高压、大口径和小流量场合 使用佼佼者;
★ 对振动不敏感,抗干扰能力强。
差压式蒸汽流量计(多以喷嘴、德尔塔巴类)局限性:
★ 测量精度在流量计中属于中等水平,由于众多因素影响,精度难以提高;
★ 范围度窄,由于仪表差压信号与流量是平方关系,一般范围仅在3:1 ~ 4:1 ;
★ 现场安装条件要求较高,一般要求较长的直管段(指孔板、喷嘴等),现场难以满足;
★ 节流装置与差压仪表之间的连接管线为薄弱环节,易产生泄露、堵塞、冻结或者信号失真等情况;
★ 最近几年发展起来的一体化差压式流量计(如V锥流量计、一体化孔板流量计等)大大缩短了引压管线,减少了这方面缺陷;
★ 压损大。(指孔板、喷嘴)
差压式蒸汽流量计中,V锥流量计的应用,克服了差压类流量计的诸多缺陷,可以说是差压类流量计中的佼佼者。这里举例说明V锥蒸汽流量计。
V型锥蒸汽流量计优势:
★ 精度高:+-0.5%,当定制β<0.55的V锥体时,***高精度可达+-0.1%
★ 重复性好:0.1%
★ 输出差压稳定:V锥体尾部负压端波动小
★ 具有自整流功能:可测混相流
★ 具有自清扫功能:无杂物滞留,适用于脏污流测量
★ 长期稳定性好:流体被逐渐收缩到管道内边壁,对V锥体磨损小
★ 可测高温流体:<850℃,其它流量计很难测量这样高温度的流体
★ 测量下限低:输出差压***小值25Pa
★ 量程比宽:可达10:1~50:1
★ 永久压损小:只有孔板的1/3~1/2
常用型号推荐:DQZ-A500B16SRFWGB,
说明:公称通径DN500,介质:蒸汽,流量:(待提供),温度:250℃,中温型,额定压力:1.6kpa,,准确度等级:±0.5%,重复性:0.1%。材质:表体和法兰为20#碳钢,V锥锥体为304不锈钢,附件含:材质为304的三阀组一个,针型阀二个,引压管组件二根。
配件:差压变送器、流量积算仪
蒸汽V锥流量计选型所需参数:
1.介质名称
2.管道口径、材质
3.正常工作流量、最大流量和最小流量
4.正常工作压力、最高工作压力
5.正常工作温度、最高温度、最低温度
6.流体工作密度或标况密度
7.各混合流体的体积百分比
注明:V锥流量计是根据客户报过来的数据进行专门设计的,因此上述参数是制造厂在生产之前进行详细计算的基础,没有这些参数,很难制作一台符合用户要求的V锥流量计。制造厂根据上述参数,计算出V锥流量传感器的差压值(差压变送器的量程范围)。这些工作是在制造厂有专业工程师进行计算完成的。
技术参数:
★ 精度等级:0.5级
★ 工作压力:0-40Mpa
★ 工作温度:-40-850℃ 量程比在10:1到 50:1之间
★ 环境温度:-30-60℃
★ 管道内径:6-3000mm
★ 输出信号:4-20mA
★ 供电电压:24V DC
★ 适用介质:几乎适用于所有气体、液体、蒸汽介质
产品结构材料材质:
|
部件名称 |
材质 |
|
测量管和法兰 |
304不锈钢、20#钢、其它 |
|
V锥体和连接附件 |
304不锈钢、双向钢 |
|
取压口 |
304不锈钢、316不锈钢 |
|
三阀组(附件,可选) |
304不锈钢、316不锈钢 |
|
引压管(附件,可选) |
304不锈钢、316不锈钢 |
|
冷凝罐(附件,可选) |
304不锈钢 |
|
排污阀(附件,可选) |
304不锈钢、316不锈钢 |
★外表涂层
|
传感器测量材质 |
外表涂层 |
|
全不锈钢 |
喷不锈钢砂 |
|
测量管为碳钢 |
银灰色环氧树脂漆 |
★防爆等级(差压变送器):隔爆、本安、不防爆可供选择
★供电电源(差压变送器):12-24VDC
★输出信号(差压变送器):4-20mA或HART协议
★显示及输出
|
变送器 |
现场显示 |
|
配多参变送器 |
瞬时流量、累积流量 |
|
配差压变送器 |
与差压范围相对应的4-20mA电流值 |
|
配差压变送器加积算仪 |
瞬时流量、累积流量 |
样品展示:

差压式V锥流量计 孔板流量计

差压式 平衡流量计
对差压引出管路的要求:
★ 引压管路的内径与管路长度和介质脏污程度有关,通常在25米以内用内径为8-12mm的管子。测量煤气可适当加粗到DN15。
★ 测量液体流量时引压管水平段应在同一水平面内。若是在垂直管道上安装节流件,引压短管之间相距一定的距离(垂线方向),这对差压变送器的零点有影响,应通过“零点迁移”来校正。
★ 引压管路应有牢固的支架托承,两根取压管路应尽可能互相靠近并远离热源或震动源,测量水蒸汽流量时,应用保温材料一同包扎,必须时(如气温0℃以下)加伴热管防止结冰。在测量脏污流量时,应附设隔离器或沉降器。
★ 引压管路内必须始终保持单相流体状态。被测流体是气体时,引压管路(包括差压计的压力腔)内全部是气相;被测流体是液体时,引压管路内全部是液相,绝对不能有气泡。为此应在引压管路的最低点装排水阀或在最高点装排气阀,在新装或检修差压仪表时应特别注意。
安装最基本要求:
★ 对于新设管路系统,必须先经吹扫管道后再安装节流装置。
★ 安装前应仔细核对节流装置的编号、位号、规格是否与管道口径、流量范围、温度、压力等参数相符。在取压口附近标有“+”的一端应与流体上游管段联接,标有“—”的一端应与流体下游管段连接。
★ 节流装置的中心线应当与管道中心线同轴。
★ 对管道的要求:
1、节流装置前后应配有一段测量管,至少保持前10D、后5D的等径直管段,以保证测量精度。
2、在节流件前后若需安装阀门,最好选闸阀且在运行中全开;调节阀则应在下游5D之后的管路中。
关于V锥流量计详细网页介绍:http://www.58qiangzhu.com/chanpin/detail/130
关于孔板流量计详细网页介绍:http://www.58qiangzhu.com/chanpin/detail/133
售后与质保
多钦仪表(上海)有限公司供应的所有产品:
所有产品质保2年;
免费提供电话咨询、指导安装调试等服务;
协商上门指导安装、调试等事宜,只收取合理的差旅费用;
量大可以免费上门指导安装、调试;
服务宗旨:不管产品使用多长时间,只要您找到我们,我们都会为您解决所有问题,直到满意为止。相信我们从事流量计行业10多年的实践经验能为你带来满意的服务。